Realización del esquema
TT
§ Disposiciones
generales
Las masas están
interconectadas y unidas a tierra sea todo el conjunto o por grupos, o bien
individualmente.
La protección contra
los contactos indirectos está asegurada por DDR
donde la sensibilidad IΔn respeta la
condición:
La elección de la
sensibilidad del DDR, función de la resistencia de la toma de tierra, está dada
en la tabla 1.
Tabla 1: Límite superior de la resistencia de la
toma de tierra de las masas a no sobrepasar en función de la sensibilidad de
los DDR y de la tensión límite UL.
● Disposiciones particulares
○ Disposiciones para asegurar la selectividad
Con el fin de permitir
la selectividad, las normas admiten que el funcionamiento del dispositivo
diferencial ubicado en la cabecera de la instalación pueda ser retardado con un
tiempo máximo de 1 s. De esta forma, se podrá realizar fácilmente una
selectividad total para defectos a tierra en varios niveles como muestra la
figura 1.
Figura 1: Selectividad total en 4 niveles
○ Caso donde una masa o un grupo de masas están unidas a una toma de tierra separada (ver fig. 2)
Protección
contra los contactos indirectos por DDR
en cabecera de cada grupo de masas unidas a una toma de tierra distinta. La
sensibilidad debe ser adaptada a la resistencia rm2 de la toma de tierra.
Figura 2: Toma de tierra separada
○ Dispositivo diferencial de alta sensibilidad (ver figura 3)
Mínimo obligatorio
La utilización de dispositivos diferenciales residuales de alta sensibilidad (≤ 30 mA) es obligatorio en los casos siguientes:
- Circuitos de bases de tomas de corriente asignada ≤ 32 A, cualquiera que sea el local.
- Circuitos de bases de tomas de corriente en locales mojados cualquiera que sea la corriente asignada indicadas en las condiciones adjuntas.
- Circuitos de bases de tomas de corriente en instalaciones temporales.
- Circuitos que alimentan salas de baño y piscinas.
- Alimentación de instalaciones de canteras, caravanas, barcos de recreo, instalaciones foráneas.
Esta
instalación puede ser individual, por circuito o por grupos de circuitos.
Figura 3:
Circuito de tomas de corriente
○ Prevención en locales con riesgo de incendio
(ver fig. 4)
Protección
diferencial de corriente residual obligatoria de sensibilidad ≤ 500 mA para la
protección de los circuitos.
Figura 4:
Local con riesgos de incendio
○ Protección cuando una masa no está unida a
tierra (ver fig. 5)
Es tolerada únicamente
para locales o emplazamientos secos cuando la realización de una toma de tierra
no es posible.
La utilización de un
dispositivo diferencial residual de alta sensibilidad (≤ 30 mA) es obligatoria
en la salida correspondiente.
Figura 5: Masa no unida a tierra
Análisis
del contacto
indirecto en el régimen de neutro TT
Neutro puesto
directamente a tierra (esquema TT, fig. 6)
El punto neutro está
conectado directamente a tierra (primera letra T)
Las masas de los
receptores están interconectadas y puestas a tierra, bien sea todas en un
conjunto, bien sea por grupos o bien individualmente (segunda letra T). La
protección se garantiza por medio de dispositivos diferenciales residuales DDR.
Todas las masas protegidas por el mismo dispositivo de protección deben estar
unidas a la misma toma de tierra.
La toma de tierra del neutro y la de las masas pueden o no estar interconectadas o confundidas. El neutro puede estar distribuido o no.
Figura 6: Neutro puesto directamente a tierra (esquema TT) en baja tensión
Neutro puesto a tierra
(esquema TT) (ver fig. 7)
Figura 7: Tensión de contacto durante el primer
defecto de aislamiento (esquema TT)
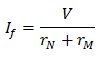
En presencia de un defecto de aislamiento, aparece una corriente de defecto If que, si la toma de tierra de las masas y la toma de tierra del neutro no están interconectadas, está esencialmente limitada por las resistencias de estas tomas de tierra:
V es la tensión simple
de la red.
Si rN = 10 Ω
y rM = 15 Ω por ejemplo, se tiene:
Las masas
interconectadas en este caso toman un potencial UC1:
Potencial peligroso que
impone el corte de la alimentación.
La tensión que aparece
entre dos masas vecinas m1 y m2 es igual a:
ZDE es la
impedancia del tramo DE: si este
tramo está constituido por un cable de cobre de 50 mm2 y de 50 m de
longitud, se tiene:
Siendo:
Resistividad del cobre a 80 ºC = ρ = 22,5·10-3 Ω mm2/m
y UC4 = 22,5·9,2·10-3, será 0,21 V, potencial inofensivo.
Una masa m3 no
interconectada con las otras no sufre ninguna elevación de potencial.
Si las tomas de tierra
del neutro y de las masas se encuentran unidas por conductores enterrados en el
suelo por ejemplo, la corriente de defecto no se cierra por tierra, y no estará
limitada en la práctica nada más que por la impedancia del bucle de defecto
ABCDEFGH.
Su valor puede ser
elevado y las masas llegar a un potencial peligroso. Para una impedancia de
bucle ZB de 100 mΩ, se
tiene una corriente de defecto de 2.200 A.
Y si ZDF ≅ ZB/2 por ejemplo, la masa m1 se eleva al potencial de 110 V. Si ZDE ≅ ZDF/2, la tensión que aparece entre las masas m1 y m2 es igual a 55 V.
Las tensiones de
contacto que aparecen en un primer defecto de aislamiento en una red con neutro
puesto directamente a tierra (esquema TT)
son peligrosas. El disparo ante un primer defecto es obligatorio. Pero también,
si la toma de tierra del neutro y la de las masas no están interconectadas, las
corrientes de defecto son débiles y no son detectadas por los dispositivos de
protección contra defectos entre fases (disyuntores o fusibles). La apertura
debe ser obtenida por dispositivos de protección de corriente residual (DDR). Cuando las tomas de tierra del
neutro y de las masas están interconectadas o confundidas, las corrientes de
defecto son mucho más elevadas.
Sin embargo, como no hay ninguna disposición exigida en este régimen para minimizar, calcular, medir las impedancias de los bucles de defecto, nada permite afirmar que los dispositivos de protección contra defectos entre fases puedan funcionar, la instalación del tipo TT y la introducción de dispositivos de corriente diferencial residual es obligatoria (ver fig. 8).
Figura 8: Protección por dispositivo diferencial
(esquema TT)
Artículo en PDF en la siguiente dirección:
https://www.mediafire.com/file/zojg0q6oab3jhm7/Realización+del+esquema+TT.pdf/file
Realización y puesta en marcha de una instalación con régimen de neutro TN









































